Original Article - Year 2026 - Volume 41Issue 1
Fatores que influenciam estudantes de medicina na decisão de se submeterem a cirurgias plásticas estéticas
Factors Influencing Medical Students' Decision to Undergo Aesthetic Plastic Surgery
RESUMO
Introdução A busca por cirurgias plásticas tem aumentado entre jovens universitá-rios, especialmente no Brasil, país que lidera mundialmente o número destes procedimentos. Tal cenário destaca a importância de compreender os fatores que influenciam esta escolha.
Objetivo Materiais e Métodos Estudo epidemiológico, observacional, transversal e descritivo, com abordagem quantitativa. A amostra foi composta por 303 acadêmicos que responderam a três instrumentos: questionário sociodemográfico, Escala de Autoes-tima de Rosenberg e questionário sobre desejos e influências estéticas. Os dados foram analisados por meio de estatística descritiva e regressão logística binária.
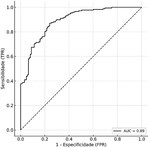
Resultados A maioria dos participantes era do sexo feminino (68,98%) e tinha entre 21 e 25 anos (45,87%). Embora 89,1% nunca tenham realizado cirurgia plástica, 58,75% demonstraram interesse. Os principais preditores da intenção cirúrgica foram: desejo de melhorar a aparência (razão de chances [RC] = 23,5; p < 0,001), sexo feminino (RC = 7,6; p < 0,001), percepção de benefício profissional (RC = 2,56; p = 0,014), frequência de postagens em redes sociais (RC = 1,76; p = 0,012), idade (RC = 1,12; p = 0,002) e baixa autoestima (RC = 1,14; p < 0,001). O modelo multivariado apre-sentou excelente poder discriminatório (área sob a curva [AUC] = 0,89).
Conclusão A decisão por cirurgias plásticas estéticas entre estudantes de medicina é multifatorial, sendo influenciada principalmente por fatores estéticos e socioculturais, mais do que apenas pela autoestima. Os achados destacam a necessidade de discutir imagem e saúde emocional acadêmica.
Palavras-chave: autoimagem; cirurgia plástica; comportamento social; estudantes de medicina; rede social
ABSTRACT
Introduction The demand for plastic surgeries has increased among university students, especially in Brazil, which is the world leader in the number of these procedures. This scenario highlights the importance of understanding the factors that influence this decision.
Objective To identify the main factors that motivate medical students at the University of Rio Verde, Campus Aparecida de Goiânia - Extensão Goiânia, state of Goiânia, Brazil, to undergo aesthetic plastic surgeries.
Materials and Methods The present is an epidemiological, observational, crosssectional, descriptive study with a quantitative approach. The sample comprised 303 students, who responded to three instruments: a sociodemographic questionnaire, the Rosenberg Self-Esteem Scale, and a questionnaire on aesthetic desires and influences. Data were analyzed using descriptive statistics and binary logistic regression.
Results Most participants were female (68.98%) and aged between 21 and 25 years old (45.87%). Although 89.1% had never undergone plastic surgery, 58.75% expressed interest in doing so. The main predictors of surgical intention were: desire to improve appearance (odds ratio [OR] p < 23.5; p<0.001), female sex (OR=7.6; p<0.001), perception of professional benefit (OR=2.56; p<0.014), frequency of social media posts (OR=1.76; p<0.012), age (OR=1.12; p¼0.002), and low self-esteem (OR =1.14; p<0.001). The multivariate model showed excellent discriminatory power (area under the curve [AUC]=0.89).
Conclusion The decision to undergo aesthetic plastic surgery among medical students is multifactorial, being primarily influenced by aesthetic and sociocultural factors rather than self-esteem alone. The findings highlight the need to address body image and emotional health within academic environments.
Keywords: self concept, plastic surgery, social behavior, medical students, social media
Introdução
Desde a Grécia, sempre existiram padrões de beleza, sendo estes mutáveis e adaptativos.1 Atualmente, esse padrão se baseia em pessoas magras e com definição muscular,2 prin-cipalmente no Brasil, um país tropical que tem como este-reótipo mundial corpos bonitos. Além disso, no século XXI , o corpo assume posição de centralidade na vida humana, atuando como mediador nas relações sociais e impactando na aceitação social dos indivíduos por seus pares no mesmo contexto sociocultural.3 Com os avanços tecnológicos e da comunicação em massa, especialmente a internet, imagens corporais atingem cada vez mais pessoas, contribuindo para uma padronização do belo.4 Quando esta realidade é anali-sada no jovem, percebe-se maior relevância da imagem corporal na sociedade, uma vez que é nessa faixa etária que o desenvolvimento da imagem corporal está se concre-tizando, formada pelo reconhecimento corporal, pelo con-tato e pela influência da sociedade e da cultura.5 Somada a isso, a instabilidade psicossocial decorrente do ingresso no meio universitário-como novas relações sociais, maior inde-pendência da família e adoção de novos comportamentos-torna os jovens estudantes vulneráveis às pressões exercidas pela sociedade quanto aos aspectos corporais.6 A percepção que o indivíduo tem de si próprio impacta seus relaciona-mentos interpessoais, sua saúde, autoestima e bem-estar.3 Por conseguinte, entende-se a importância que a cirurgia plástica pode ter na vida do indivíduo, uma vez que ela interfere diretamente na imagem que a pessoa tem em relação a si própria e à sociedade. De acordo com a última pesquisa global da Sociedade Internacional de Cirurgia Plás-tica Estética (ISAPS, do inglês The International Society of Aesthetic Plastic Surgery),7 no ano de 2023, o Brasil está em primeiro lugar entre os países que mais realizam procedi-mentos cirúrgicos. Nesse sentido, considerando que fatores psicológicos e sociais, como a autoestima e a influência das mídias sociais, estão fortemente relacionados à busca por cirurgias estéticas, é relevante compreender como esses elementos contribuem para o bem-estar integral do indiví-duo. Por fim, entende-se que a cirurgia plástica pode repre-sentar não apenas um procedimento estético, mas também um meio potencial para melhorar a saúde geral, já que a Organização Mundial da Saúde (OMS), desde 1946, define saúde como um estado completo de bem-estar físico, mental e social, e não meramente a ausência de doenças ou enfermidades.
Objetivo
Compreender os principais fatores que influenciam os uni-versitários do curso de Medicina da Universidade de Rio Verde (UniRV)- Campus Aparecida de Goiânia - Extensão Goiânia, GO, Brasil, a se submeterem a cirurgias plásticas estéticas.
Materiais e Métodos
Trata-se de um estudo epidemiológico, observacional, trans-versal e de abordagem quantitativa, com elementos descri-tivos e analíticos. A coleta de dados foi realizada por meio da aplicação de questionários online elaborados na plataforma Google Forms. Esse modelo foi escolhido para analisar os fatores que influenciam jovens universitários do curso de medicina a se submeterem a cirurgias plásticas estéticas.
A pesquisa foi conduzida na Faculdade de Medicina da UniRV, Campus Aparecida de Goiânia - Extensão Goiânia, envolvendo estudantes de ambos os sexos, com idade 2: 18 anos, matriculados entre o 1° e o 12° período do curso de Medicina. A amostra foi composta inicialmente por 327 estudantes, dos quais 324 aceitaram participar após assina-tura do Termo de Consentimento Livre e Esclarecido (TCLE) (Anexo I). Após o tratamento dos dados, foram analisadas 303 respostas válidas, considerando os critérios de comple-tude e consistência das variáveis utilizadas na regressão logística.
Foram incluídos estudantes com idade 2: 18 anos, devida-mente matriculados, que concordaram com os termos do TCLE. Foram excluídos os participantes que não consentiram formalmente e que assinalaram “prefiro não responder” em alguma das variáveis analisadas. O convite para participação foi realizado via e-mails acadêmicos institucionais, de forma individual, sem a utilização de listas que permitissem a identificação dos participantes por terceiros.
O formulário de pesquisa foi composto por três instru-mentos: o questionário sociodemográfico (Anexo II), con-tendo 12 itens sobre idade, sexo, cor, altura, peso, renda, semestre, entre outros; a Escala de Autoestima de Rosenberg (EAR), que foi traduzida e adaptada para o português por Dini GM et al.8 (Escola Paulista de Medicina da Universidade Federal de São Paulo) (Anexo III), com 10 itens avaliados em escala Likert de 4 pontos, sendo para as afirmativas 1, 3, 4, 7, 10 (concordo plenamente = 0; concordo = 1; discordo = 2; e discordo plenamente = 3) e para as afirmativas 2, 5, 6, 8, 9 (concordo plenamente = 3; concordo = 2; discordo = 1; e discordo plenamente = 0). A pontuação final varia de 0 a 30, sendo que valores mais altos indicam pior autoestima. O terceiro instrumento foi o Questionário sobre Desejos, Anseios e Influências (Anexo IV), com 8 itens avaliando motivações estéticas, influência das redes sociais e frequên-cia de exposição digital. A maioria das questões possui respostas dicotômicas (sim/não), com exceção das questões 6 (escala ordinal de frequência) e 2 (aberta).
Análise Estatística
Os dados foram organizados no Microsoft Excel (Microsoft Corporation) e posteriormente exportados para o software estatístico jamovi (the jamovi project, 2023), versão 2.3.21. Inicialmente, foi realizada a análise descritiva, com cálculo de médias, desvios padrão, frequências absolutas e relativas, além de testes de normalidade.
Para avaliar a associação entre autoestima e a intenção de submeter-se à cirurgia plástica estética, foi aplicada a regres-são logística binária, tendo como variável dependente a intenção de se submeter a cirurgia plástica estética (resposta dicotomizada: 1 = sim; 0 = não), conforme autorrelato à pergunta: “Você tem vontade de se submeter a alguma (ou a outra) cirurgia plástica estética?”.
A autoestima, avaliada pela EAR invertida (na qual mai-ores valores indicam menor autoestima), foi inicialmente analisada em modelo simples. Em seguida, foi construída uma regressão multivariada, incluindo as seguintes covariá-veis: autoestima; sexo (masculino/feminino); idade (valores médios das faixas etárias); peso (valores médios das faixas de peso); percepção de benefício profissional da cirurgia; desejo de melhorar a aparência; desejo de parecer com influencia-dores digitais; frequência de postagens em redes sociais.
As variáveis categóricas foram convertidas para formato binário (1 = sim; 0 = não). A variável ordinal referente à frequência de postagens em redes sociais foi expressa com base na média estimada de postagens atribuída a cada faixa de resposta: raramente (0,25), 1 vez por semana (1), 2 a 3 vezes por semana (2,5), 4 a 6 vezes por semana (5), e diariamente (7). Esta abordagem permitiu a inclusão da variável como preditora contínua na análise multivariada, com base na equivalência estimada de frequência autorre-ferida. Para variáveis categóricas com dados ausentes, foram aplicadas imputações pontuais baseadas na moda ou exclu-são pontual. Para variáveis contínuas derivadas de faixas (como idade e peso), os valores médios das respectivas categorias foram utilizados. Esta abordagem permitiu a inclusão dos 303 participantes na análise multivariada. O nível de significância adotado foi de p < 0,05. Foram repor-tados os coeficientes (β), os valores-p e as razões de chances (RCs) com seus respectivos intervalos de confiança de 95% (IC95%). A qualidade do ajuste do modelo multivariado foi avaliada pelo pseudo R2 de McFadden. A capacidade discri-minatória do modelo foi avaliada por meio da curva ROC (do inglês receiver operating characeristics), com cálculo da área sob a curva (AUC).
Aspectos Éticos
A pesquisa atendeu os preceitos que constam na Resolução 466/2012 do Conselho Nacional de Saúde do Ministério da Saúde e seguiu os seguintes aspectos éticos: encaminhamento deste projeto ao Comitê de Ética em Pesquisa da UniRV solicitando a autorização para seu desenvolvimento. A pes-quisa foi realizada após aprovação do parecer (número do parecer: 6.775.431). Dessa forma, foram esclarecidos aos participantes todos os procedimentos que foram adotados durante a pesquisa e possíveis riscos e benefícios. Ademais, os preceitos bioéticos foram atendidos, valorizando sobretudo a dignidade, a liberdade e a autonomia humana. É garantido ao participante não responder a nenhuma questão.
A abordagem aos participantes foi respeitosa, esclare-cendo o objetivo do estudo e a importância de sua partici-pação. Em seguida, informamos aos participantes sobre a confidencialidade dos dados e que a apresentação dos resul-tados ocorreria no final do estudo. Os indivíduos pesquisados autorizaram sua participação voluntária na pesquisa a ser desenvolvida através do TCLE (Anexo I), assegurando-lhes o direito de retirar seu consentimento em qualquer fase do estudo sem sofrer nenhuma penalização. Além disso, foi enfatizada a importância de o participante salvar uma via do termo, para posterior acesso aos contatos dos pesquisa-dores e do Comitê de Ética em Pesquisa (CEP). Para garantir ao participante uma via do TCLE, foi fornecido link para retirada do mesmo (https://forms.gle/yJ72HKU1hynZMV-kUA). O TCLE foi aplicado de forma eletrônica, respeitando o Ofício Circular de n° 2/2021/CONEP/SECNS/MS e contendo garantias e direitos previstos nas Resoluções CNS n° 466 de 2012 e 510 de 2016.
Resultados
Perfil Sociodemográfico dos Participantes
O questionário foi aplicado a 327 alunos, dos quais 303 foram selecionados para o estudo, após a exclusão de 24 partici-pantes que não atenderam aos critérios de inclusão e análise estatística. O perfil sociodemográfico dos 303 estudantes incluídos na análise é apresentado na ►Tabela 1. Observou-se predominância do sexo feminino (68,98%), de participantes com idade entre 21 e 25 anos (45,87%) e cor branca (66,01%). Mais da metade declarou renda familiar > R$ 10.000 (52,81%).
| Variável | Categoria | n | % | IC95% |
|---|---|---|---|---|
| Sexo | Masculino | 94 | 31,02% | 25,81%-36,23% |
| Feminino | 209 | 68,98% | 63,77%-74,19% | |
| Peso corporal (kg) | 51-60 | 83 | 27,39% | 22,37%-32,41% |
| 61-70 | 93 | 30,69% | 25,50%-35,89% | |
| 71-80 | 65 | 21,45% | 16,83%-26,07% | |
| Idade (anos) | 18-20 | 118 | 38,94% | 33,45%-44,43% |
| 21-25 | 139 | 45,87% | 40,26%-51,49% | |
| 26-30 | 21 | 6,93% | 4,07%-9,79% | |
| Cor da pele autorreferida | Branca | 200 | 66,01% | 60,67%-71,34% |
| Parda | 91 | 30,03% | 24,87%-35,19% | |
| Preta | 12 | 3,96% | 1,76%-6,16% | |
| Renda familiar mensal | < R$ 5.000 | 23 | 7,59% | 4,61%-10,57% |
| R$ 5.001-10.000 | 68 | 22,44% | 17,74%-27,14% | |
| > R$ 10.000 | 160 | 52,81% | 47,18%-58,43% |
Abreviação: IC, intervalo de confiança.
Avaliação da Autoestimae sua Relação coma Intenção de Submeter-se a Cirurgia Plástica Estética
A análise dos resultados da EAR invertida revelou que a baixa autoestima apresenta uma relação estatisticamente signifi-cativa com a maior intenção de submeter-se a cirurgia plástica estética. No modelo simples, que considera apenas a autoestima como variável preditora, verificou-se que níveis mais baixos de autoestima (escores mais altos na escala invertida) estão associados a uma maior propensão a se submeter a procedimentos cirúrgicos estéticos (β = 0,097; p < 0,001), conforme visto na ►Fig. 1. No entanto, o pseudo R2 (0,09) indica que a autoestima, por si só, explica apenas 9% da variabilidade na decisão de submeter-se a cirurgia plástica.

Ao incluir covariáveis no modelo multivariado, o inter-cepto foi negativo e altamente significativo (β0 = - 8,58; p < 0,001). Isso indica que, na ausência de qualquer fator predisponente (como sexo, autoestima reduzida, idade e motivações estéticas ou profissionais), a intenção de sub-meter-se a cirurgia plástica seria extremamente improvável. Entretanto, ao ajustar para outras variáveis, a autoestima manteve uma associação estatisticamente significativa (β = 0,137; p < 0,001), confirmando que indivíduos com menor autoestima continuam mais propensos à cirurgia plástica, mesmo após ajustes (►Fig. 2).

Principais Preditores da Intenção de Submeter-se a Cirurgia Plástica
A análise multivariada (►Tabela 2) identificou que o sexo feminino foi um dos preditores mais relevantes da intenção cirúrgica (β = 2,01; p < 0,001), com mulheres apresentando ~ 7,5 vezes mais chances de manifestar este desejo em comparação com os homens. A idade também demonstrou efeito estatisticamente significativo (β = 0,113; p = 0,001), indicando que, a cada ano adicional, a chance de desejar cirurgia estética aumenta em ~ 12%. No entanto, este achado deve ser interpretado com cautela, considerando que a amostra é predominantemente composta por jovens univer-sitários (21-25 anos), o que pode influenciar a direção e a magnitude deste efeito. Considerando a percepção de bene-fício da cirurgia para a carreira (β = 0,942; p = 0,011), parti-cipantes que acreditam que a cirurgia pode trazer vantagens profissionais apresentaram 2,56 vezes mais chances de querer submeter-se ao procedimento. O desejo de melhorar a aparência estética foi o fator mais fortemente associado à intenção de realizar cirurgia plástica (β = 3,158; p < 0,001), com uma RC de 23,5, indicando que indivíduos motivados por preocupações estéticas apresentaram altíssima propen-são a manifestar esse desejo. A frequência de postagens em redes sociais também se associou significativamente à inten-ção cirúrgica (β = 0,563; p = 0,012), sugerindo que quanto maior o engajamento digital (postagens frequentes de fotos), maior a propensão à cirurgia estética. Este achado pode refletir a influência indireta das redes sociais sobre a autoi-magem e a exposição pública do corpo.
| Variável | β | Valor de p | RC (IC95%) |
|---|---|---|---|
| Sexo feminino | 2,01 | < 0,001 | 7,60 (4,12-14,03) |
| Idade (anos) | 0,11 | 0,002 | 1,12 (1,04-1,20) |
| Autoestima (escala invertida) | 0,13 | < 0,001 | 1,14 (1,07-1,22) |
| Percepção de benefício profissional | 0,94 | 0,014 | 2,56 (1,20-5,08) |
| Desejo de melhorar a aparência | 3,15 | < 0,001 | 23,50 (8,91-56,83) |
| Frequência de postagens em redes sociais | 0,563 | 0,012 | 1,76 (1,01-1,89) |
| Desejo de parecer com influenciadores digitais | -0,078 | 0,82 | 0,93 (0,42-1,83) |
| Peso corporal (kg) | 0,008 | 0,66 | 1,01 (0,98-1,05) |
Abreviações: IC, intervalo de confiança; RC, razão de chances.
Outros Fatores com Efeito Marginal ou Não Significativo
Por outro lado, o desejo de ter um corpo semelhante ao de influenciadores digitais (β = -0,078; p = 0,824) não apresen-tou associação significativa com a intenção de cirurgia, indicando que essa variável pode ser um reflexo de outros fatores já ajustados no modelo, como autoestima ou uso das redes sociais. Peso corporal (β = 0,008; p = 0,664) também não apresentou efeito estatisticamente significativo na intenção de cirurgia plástica.
Força Preditiva do Modelo
O modelo multivariado apresentou um ajuste substancial-mente melhor do que o modelo simples, com um Pseudo R2 = 0,5; ademais, a acurácia do modelo multivariado foi avaliada por meio da curva ROC, com uma AUC de 0,89, indicando excelente capacidade discriminatória (►Fig. 3) e sugerindo que a decisão pela cirurgia plástica é predomi-nantemente guiada por aspectos externos, como expectati-vas sociais, pressões de gênero, idade e percepções de vantagens pessoais e profissionais.

Embora a baixa autoestima esteja relacionada à maior intenção de submeter-se a cirurgia plástica, seu impacto é menos expressivo quando comparado com fatores socio-culturais. A decisão de se submeter a procedimentos esté-ticos parece ser influenciada principalmente por pressões sociais relacionadas à estética, percepção de benefícios profissionais e fatores demográficos como o sexo e a idade. Estudos futuros devem explorar como diferentes dimensões da autoestima e da insatisfação corporal interagem com estas motivações, especialmente no contexto das redes sociais e da construção da imagem corporal em carreiras altamente competitivas.
Discussão
Perfil Sociodemográfico dos Participantes
Os dados do presente estudo assemelham-se ao perfil soci-odemográfico do estudo realizado por Moreira Filho et al.,9 que também encontraram uma predominância de mulheres (92,3%), de cor branca (63,5%) e com renda entre 4 e 10 salários mínimos (28,8%). Esses achados dialogam com o estudo de Rassi et al.,10 que relataram uma população majoritariamente feminina (97,6%), de cor branca (26,9%), com idade média de 35,31 anos (n = 501) e renda média de R$ 7.341,69. A principal divergência entre os estudos está na faixa etária dos participantes, uma vez que a presente pesquisa analisou estudantes universitários de medicina, enquanto os demais estudos investigaram indivíduos que já haviam se submetidos a cirurgia plástica.
Influência do Sexo e Idade
O sexo feminino foi um dos fatores mais fortemente asso-ciados à intenção cirúrgica, com mulheres apresentando 7,5 vezes mais chances de desejar o procedimento em compa-ração com os homens (β = 2,01; p < 0,001). Esse achado está de acordo com a literatura, que indica que mulheres são mais propensas a internalizar padrões de beleza e a experimentar maior pressão social para atender às normas estéticas.11,12
A idade também demonstrou uma influência estatistica-mente significativa (β = 0,11; p = 0,001), com um aumento de 12% na intenção de cirurgia para cada ano adicional de idade. No entanto, essa associação deve ser interpretada com cautela, uma vez que a amostra foi predominantemente composta por jovens universitários (21-25 anos). Estudos sugerem que, nessa faixa etária, a exposição midiática e o impacto das redes sociais são fatores particularmente relevantes,13 enquanto em indivíduos mais velhos o desejo por rejuvenescimento pode desempenhar um papel mais preponderante.14
Autoestima e Intenção de Submeter-se a Cirurgia Plástica Estética
Os resultados deste estudo indicam que a intenção de se submeter a cirurgia plástica estética é influenciada por uma combinação de fatores psicológicos e sociais, com a autoestima desempenhando um papel relevante, mas não isoladamente determinante. Essa conclusão é corroborada por Aguiar et al.,15 que, ao investigarem qualitativamente mulheres submetidas a procedimentos estéticos, observaram que, embora a cirurgia tenha promovido uma melhora na percepção da autoestima, essa não foi a principal motivação para sua realização, refor-çando a ideia de que a decisão cirúrgica envolve um contexto mais amplo de expectativas sociais e individuais. Indivíduos com níveis de autoestima mais baixos tendem a apresentar maior intenção de se submeter a procedimentos estéticos (β = 0,13; p < 0,001), corroborando estudos anteriores que destacam a insatisfação corporal como um fator preditor ainda mais forte do que a autoestima global,14,16
No entanto, a contribuição isolada da autoestima para a intenção cirúrgica mostrou-se modesta (pseudo R2 = 0,05), o que está alinhado com estudos recentes que sugerem que a internalização de padrões de beleza e a insatisfação com partes específicas do corpo são preditores mais robustos desse desejo.17
Além disso, este estudo se diferencia por analisar estudantes universitários de medicina, um grupo raramente investigado em pesquisas sobre intenção cirúrgica. Al-Bashaireh et al.18 encontraram uma forte associação entre imagem corporal negativa e atitudes favoráveis à cirurgia plástica entre estu-dantes universitárias nos Emirados Árabes Unidos, sugerindo que fatores acadêmicos e culturais podem influenciar percep-ções sobre imagem corporal e busca por intervenções estéticas.
Percepção de Benefícios Profissionais e Influência da Atratividade
Outro achado relevante foi a percepção de que a cirurgia plástica pode trazer benefícios profissionais, estando asso-ciada a uma maior intenção cirúrgica (β = 0,94; p = 0,011). O conceito de beauty premium sugere que indivíduos mais atraentes tendem a ser percebidos como mais competentes e a obter melhores oportunidades no mercado de trabalho.19
Essa percepção pode ser particularmente relevante para estudantes de medicina, cuja carreira envolve alta exposição pública e interação constante com pacientes e colegas. Além disso, a intenção de melhorar a aparência foi o fator mais fortemente associado à intenção de cirurgia plástica (β = 3,15; p < 0,001), indicando que a insatisfação com a própria atratividade é um dos preditores mais robustos desse desejo.11
O Papel das Redes Sociais e Influenciadores Digitais
A influência das redes sociais na percepção da imagem corporal e na intenção de submeter-se a cirurgia plástica foi confirmada por um estudo brasileiro conduzido por Portela et al.,20 que revelou que 79,5% dos estudantes de medicina consideraram submeter-se a procedimentos esté-ticos devido à exposição ao conteúdo digital. No presente estudo, a frequência de postagens nas redes sociais estava significativamente associada à intenção de submeter-se à cirurgia plástica (β = 0,563; p = 0,012), sugerindo que estu-dantes que postam com maior frequência têm maior pro-pensão à intenção cirúrgica, enquanto o desejo de se parecer com influenciadores digitais não demonstrou associação significativa (β = - 0,078; p = 0,824). Isso sugere que o com-portamento de exposição pode ser mais determinante do que a idealização explícita da estética digital. Esses achados indicam que, apesar da importância do ambiente digital, fatores como pressões acadêmicas e expectativas profissio-nais podem ter um papel modulador sobre essa relação entre redes sociais e intenção cirúrgica, especialmente entre estu-dantes de medicina. Ainda assim, é importante considerar que, como apontado por Mironica et al.,21 a exposição crônica a conteúdos estéticos nas mídias sociais pode gerar efeitos cumulativos ao longo do tempo, influenciando gra-dualmente a decisão de se submeter a intervenções estéticas.
Limitações do Estudo
Como limitações do presente estudo, destacamos que o delineamento transversal adotado não permite estabelecer relações de causalidade entre as variáveis estudadas, res-tringindo-se à identificação de associações estatísticas. A amostra, embora numerosa, é composta exclusivamente por estudantes de uma instituição privada do estado de Goiás, com predomínio de alta renda familiar, o que pode limitar a generalização dos resultados para outras populações acadê-micas ou contextos socioculturais. O desfecho principal-intenção de submeter-se à cirurgia plástica estética-foi obtido por meio de autorrelato, o que não garante corres-pondência com o comportamento real futuro dos partici-pantes, considerando possíveis barreiras econômicas, mudanças de opinião ou contexto. Ademais, não foram incluídas variáveis psicossociais relevantes, como insatisfa-ção corporal localizada, comparação social ou sintomas de transtorno dismórfico corporal, que podem impactar signi-ficativamente a decisão por procedimentos estéticos e devem ser exploradas em estudos futuros.22
Conclusão
Os resultados do presente estudo demonstram que a decisão dos estudantes de medicina em submeter-se a cirurgias plás-ticas estéticas é influenciada por fatores socioculturais, autoes-tima e percepção de benefícios profissionais. A baixa autoestima mostrou-se associada à maior intenção cirúrgica, mas essa relação se tornou menos expressiva quando ajustada para outras variáveis, sugerindo que expectativas estéticas e sociais desempenham um papel mais determinante. Mulheres apresentaram maior predisposição à cirurgia plástica e a percepção de que o procedimento pode trazer vantagens para a carreira também se mostrou um fator relevante. O desejo de melhorar a aparência foi o principal preditor da intenção cirúrgica, indicando que a busca por procedimentos estéticos reflete em grande parte pressões sociais e padrões de beleza idealizados. Embora as redes sociais desempenhem um papel significativo na exposição a padrões estéticos, a frequên-cia de postagens e o desejo de se parecer com influenciadores digitais não foram determinantes isolados na decisão cirúrgica, reforçando que múltiplos fatores interagem nesse processo. Este estudo contribui para a compreensão dos fatores que motivam estudantes de medicina a considerar cirurgias plás-ticas estéticas, destacando a necessidade de ações educativas e discussões críticas sobre imagem corporal e expectativas estéticas. A cirurgia plástica, portanto, não deve ser encarada de forma negativa ou estigmatizada, mas sim compreendida como uma possibilidade legítima, desde que a decisão seja pautada em motivações genuínas e conscientes. Estratégias educativas que promovam reflexão sobre autoestima, padrões estéticos e influência social podem auxiliar estudantes a tomarem decisões mais equilibradas e alinhadas ao seu bem-estar. Futuros estudos, especialmente com delineamento longitudinal e populações mais diversas, são recomendados para aprofundar a compreensão dos fatores que sustentam a intenção de submeter-se a cirurgia plástica ao longo do tempo.
Referências
1. Sena RMC, Nascimento EGC, Sena PRC, Jacob LMS, Mais EMC. A construção social do corpo: como a perseguição do ideal do belo influenciou as concepções de saúde na sociedade brasileira contemporânea. Mudanças. 2019;27(01):53-61
2. Kelley CC, Neufeld JM, Musher-Eizenman DR. Drive for thinness and drive for muscularity: opposite ends of the continuum or separate constructs? Body Image 2010;7(01):74-77. Doi: 10.1016/j.bodyim.2009.09.008
3. Miranda RF, Almeida TS, Oliveira TC, Souza CS, Abranches MV. REPRESENTAÇÃO CORPORAL ENTRE JOVENS UNIVERSITÁRIOS: BELEZA, SAÚDE E INSATISFAÇÃO NA VIVÊNCIA DE UM CORPOVITRINE. Rev Psi Divers Saúde 2017;6(04):258-269. Doi: 10.17267/2317-3394rpds.v6i4.1696 Disponível em: https://www5.bahiana.edu.br/index.php/psicologia/article/view/1696
4. Freitas CMSMd, Lima RBT, Costa AS, Lucena Filho A. O padrão de beleza corporal sobre o corpo feminino mediante o IMC. Rev Bras Educ Fis Esporte 2010;24(03):389-404. Doi: 10.1590/S1807-55092010000300010
5. Chagas LM, Ferreira NG, Hartmann V, Kümpel DA. Percepção da imagem corporal e estado nutricional de adolescentes. Rev Psicol IMED. 2019;11(02):69-78. Doi: 10.18256/2175-5027.2019.v11i2.3166
6. de Souza AC, Alvarenga Mdos SInsatisfação com a imagem cor-poral em estudantes universitários - Uma revisão integrativa. J Bras Psiquiatr 2016;65(03):286-299. Doi: 10.1590/0047-2085000000134
7. International Society of Aesthetic Plastic Surgery. Aesthetic/Cos-metic procedures performed in 2023. 2023 [cited 2024 Sep 8]. Disponível em: https://www.isaps.org/media/rxnfqibn/isaps-glo-bal-survey_2023.pdf
8. Dini GM, Quaresma MR, Ferreira LM. Adaptação Cultural e Vali-dação da Escala de Autoestima de Rosenberg. Rev Bras Cir Plást 2004;19:41-52
9. Moreira Filho HF, Bessa OADAC, Moreira NS. Autoestima e qualidade de vida em pacientes submetidos a cirurgia plástica. Rev Bras Cir Plást 2024;39(02):e0858. Doi: 10.5935/2177-1235.2024RBCP0858-PT
10. Rassi SP, Freitas-Júnior R, Costa ADM. Características sociodemo-gráficas, hábitos de vida e critérios do paciente para a escolha do cirurgião plástico. Rev Bras Cir Plást 2021;36(01):56-62. Doi: 10.5935/2177-1235.2021RBCP0011
11. Henderson-King D, Henderson-King E. Acceptance of cosmetic surgery: scale development and validation. Body Image 2005;2 (02):137-149. Doi: 10.1016/j.bodyim.2005.03.003
12. Pearlman RL, Wilkerson AH, Cobb EK, et al. Factors associated with likelihood to undergo cosmetic surgical procedures among young adults in the United States: a narrative review. Clin Cosmet Investig Dermatol 2022;15:859-877. Doi: 10.2147/CCID.S358573
13. Walker CE, Krumhuber EG, Dayan S, Furnham A. Effects of social media use on desire for cosmetic surgery among young women. Curr Psychol 2021;40:3355-3364. Doi: 10.1007/s12144-019-00282-1
14. Sarwer DB. Body image, cosmetic surgery, and minimally invasive treatments. Body Image 2019;31:302-308. Doi: 10.1016/j.bodyim.2019.01.009
15. De Aguiar KGM, de Sousa JA. Cirurgia plástica estética em mulheres e autoestima: um estudo qualitativo. Rev Psi Divers Saúde. 2023;12:1-11. Doi: 10.17267/2317-3394rpds.2023.e5277e5277 Disponível em: https://www5.bahiana.edu.br/index.php/psicologia/article/view/5277
16. Nerini A, Matera C, Di Gesto C, Policardo GR, Stefanile C. Exploring the links between self-compassion, body dissatisfaction, and acceptance of cosmetic surgery in young Italian women. Front Psychol 2019;10:2698. Doi: 10.3389/fpsyg.2019.02698
17. Wu Y. Say no to the knife! An investigation of Chinese and Dutch women’s consideration of cosmetic surgery and how to intervene [dissertation]. Maastricht (NL): Maastricht University; 2022. Doi: 10.26481/dis.20221115yw
18. Al-Bashaireh AM, Aljawarneh Y, Alkouri O, et al. Body image and attitudes toward cosmetic surgeries among female college stu-dents in the United Arab Emirates: A cross-sectional study. Heliyon 2025;11(02):e42027. Doi: 10.1016/j.heliyon.2025.e42027
19. Dossinger K, Wanberg CR, Choi Y, Leslie LM. The beauty premium: the role of organizational sponsorship in the relationship bet-ween physical attractiveness and early career salaries. J Vocat Behav 2019;112:109-121. Doi: 10.1016/j.jvb.2019.01.007
20. Portela MVV, da Silva YFA, Dutra MCMF, Lages MKAB, Holanda TA, Almeida IP. Análise da influência das redes sociais na busca por procedimentos cosméticos entre acadêmicos de medicina. Braz J Hea Rev. 2023;6(06):30040-30052. Doi: 10.34119/bjhrv6n6-266 Disponível em: https://ojs.brazilianjournals.com.br/ojs/index.php/BJHR/article/view/65187
21. Mironica A, Popescu CA, George D, Tegzeşiu AM, Gherman CD. Social media influence on body image and cosmetic surgery considerations: a systematic review. Cureus 2024;16(07): e65626. Doi: 10.7759/cureus.65626
22. Rodrigues LF, de Souza RE Junior, Balbino JC, et al. Prevalência do Transtorno Dismórfico corporal em pacientes candidatos e/ou submetidos a procedimentos estéticos na especialidade de cirur-gia plástica: uma revisão sistemática. Braz J Desenvolver 2023;9 (05):16889-16901. Doi: 10.34117/bjdv9n5-159
1. Faculdade de Medicina, Universidade de Rio Verde, Campus Aparecida - Extensão Goiânia,
Goiânia, GO, Brasil
Endereço para correspondência Vinicius Barbieri Da-Silveira, Universidade de Rio Verde, Campus Aparecida, Extensão Goiânia, Goiânia, GO, Brasil (e-mail: viniciusbarbieri7@ gmail.com; vinicius.b.silveira@academico.unirv.edu.br).
Artigo submetido: 08/01/2025.
Artigo aceito: 14/07/2025.
Conflito de Interesses
Os autores não têm conflito de interesses a declarar.








Read in Portuguese
Read in English
PDF PT
Print
Send this article by email
How to Cite
Mendeley
Pocket
Twitter